
- Tel: 86-0519-88902571
- Mobile: 13813671568
- Fax: 86-0519-88905988
- QQ: 8253859
- E-mail: 8253559@qq.com
- Postal code: 213116

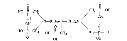
CAS No. 34690-00-1 Dequest: 2090
Molecular Formula C17H44O15N3P5 Molecular Weight: 685
Structural formula:

Properties
BHMTPMPA is a high-efficient chelating scale inhibitor, it has good effect to carbonate and sulfate scale. BHMTPMPA has good water soluble properties and heat tolerance. BHMTPMPA has high calcium ion tolerance in a wide pH ranges and temperature as high as 120℃.
Specification:
| Items | index |
| Appearance | Dark amber liquid |
| Active component % | 43.0-48.0 |
| chloride (as Cl-计)% | 8.0max |
| Fe(以Fe3+)ppm | 65max |
| density(20℃)g/cm3 | 1.23min |
| PH(1%water solution) | 2.0max |
Usage
BHMTPMPA can be used as scale and corrosion inhibitor for oilfield water, industrial circulating cool water and boiler.
Package and Storage:
Normally In 250kg net Plastic Drum, IBC drum can also be used as required. Storage for ten months in room shady and dry place.
Safety and Protection
Acidity, Avoid contact with eye and skin, once contacted, flush with water.

